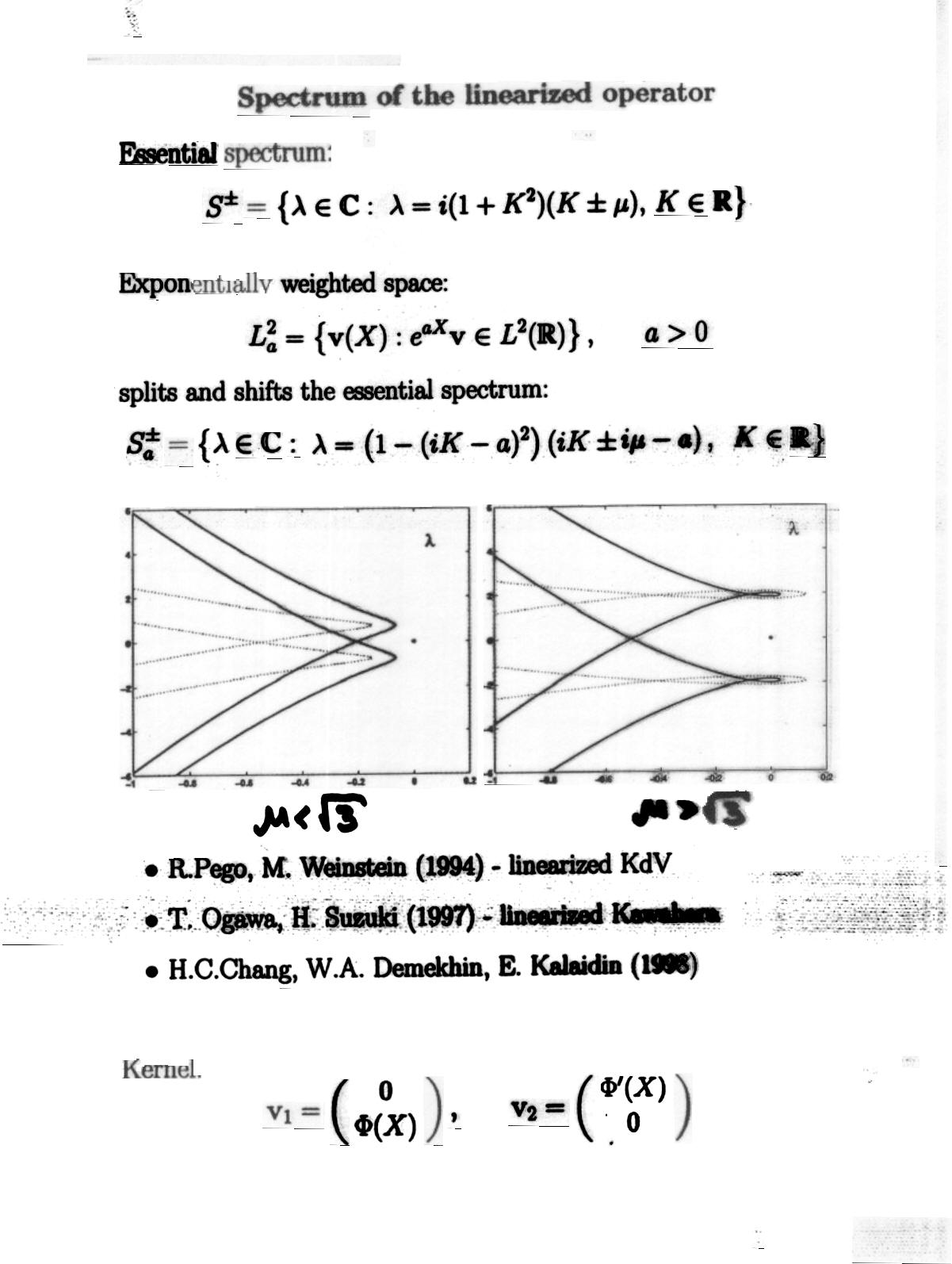
Spectrum of embedded solitons in the third-order NLS equation
(Dmitry Pelinovsky, October 2004)