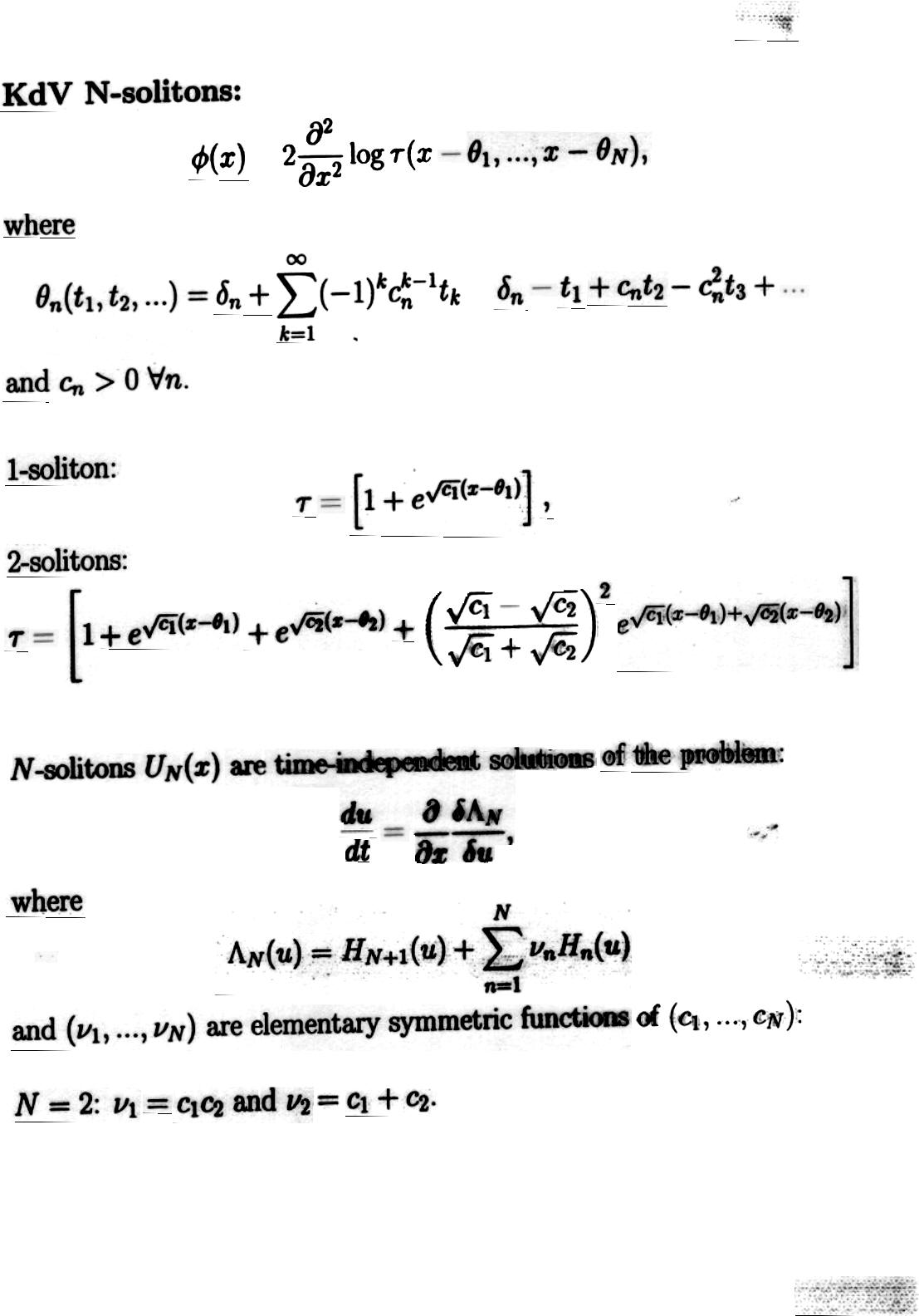
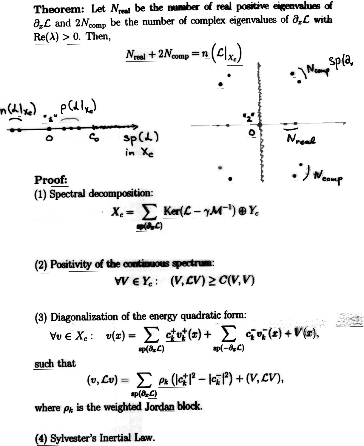
Spectral Stability of KdV solitons
(Dmitry Pelinovsky, June 2004)