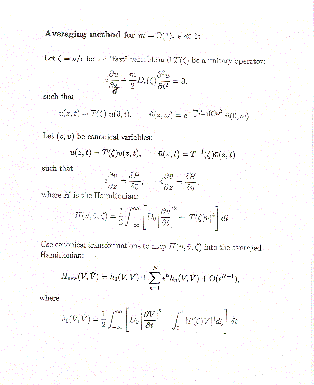
Parametric resonance and radiative decay of dispersion-managed solitons
(Dmitry Pelinovsky, August 2003)