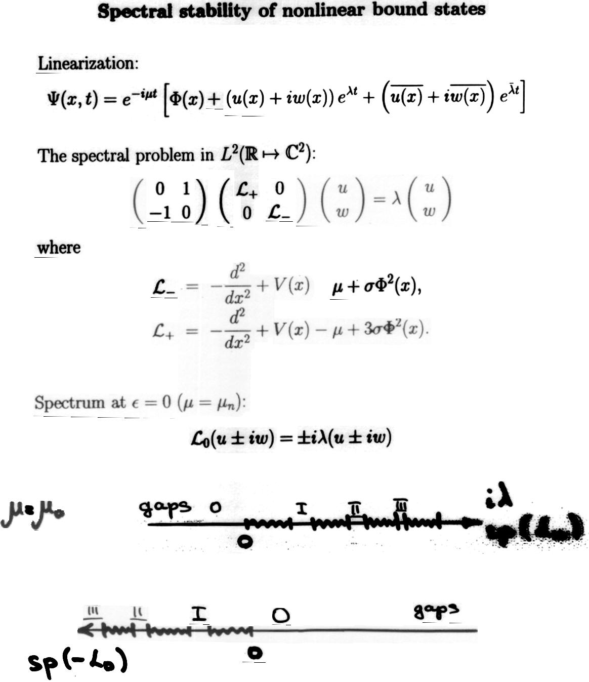
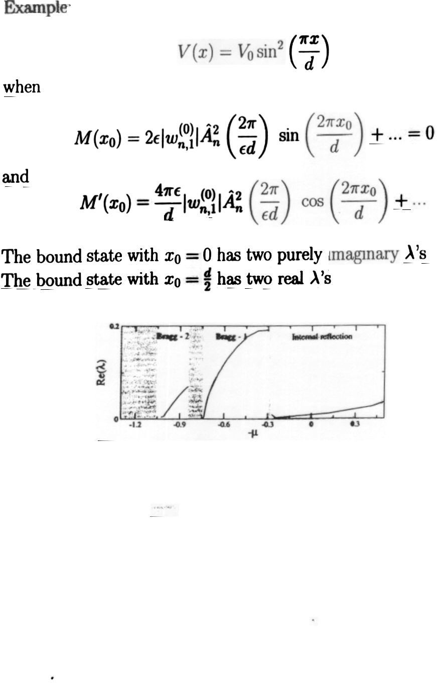
Bifurcations of gap solitons in periodic potentials
(Dmitry Pelinovsky, December 2003)